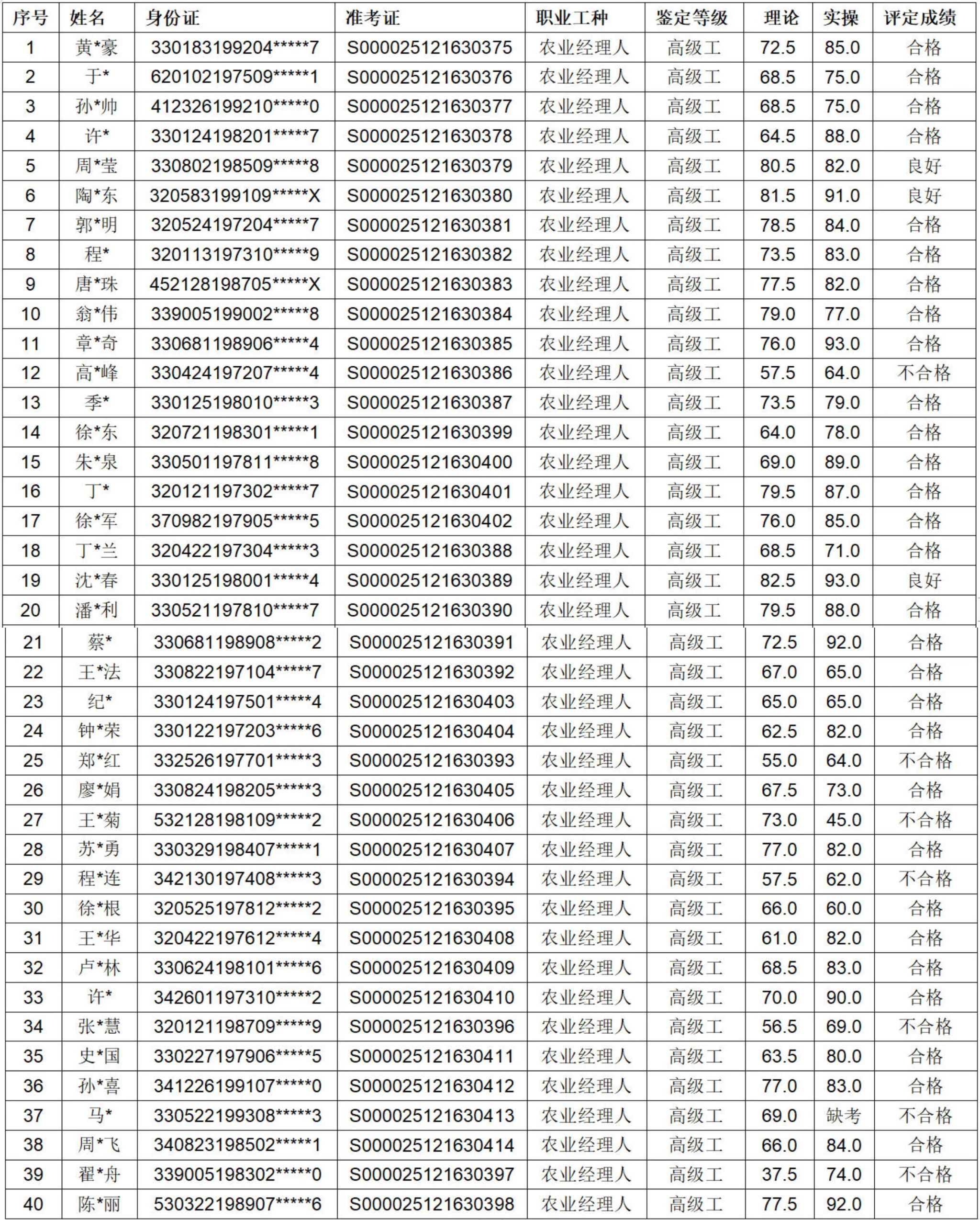
根据浙人社办《浙江省社会评价组织职业技能等级认定操作指南(试行)》(浙人社办发【2022】3号)的有关规定,现将学院2025年12月20日组织的职业技能等级认定考试中第2025-S-009459批次(农业经理人三级)、2025-S-009458批次(农业经理人四级)、第2025-S-009462批次(农业经理人二级)的考生认定成绩予以公示。
公示时间:2025年12月24日至2025年12月30日。
公示期间,若有异议,请与学院技能评价中心联系。
监督电话:0571-63740608(王老师)
联系电话:0571-63742207(陈老师)
0571-63745593(叶老师)
0571-63745719(李老师)
0571-63740636(方老师)
浙江农林大学继续教育学院
2025年12月24日
附件:
浙江农林大学职业技能等级认定农业经理人(三级)成绩汇总表

浙江农林大学职业技能等级认定农业经理人(四级)成绩汇总表

浙江农林大学职业技能等级认定农业经理人(二级)成绩汇总表
